Statistics
统计学 基本概念
正态分布 - 概率分布曲线,中间高,两边低,左右对称
描述正态分布的两个参数
- 峰值(平均值) - μ (miu)
- 标准差 - σ (sigema)
对于正态分布,无论 μ 和 σ 的值如何,都满足 68-95-99.7 法则,即 68%的数据会落在 μ±σ 区间,95%的数据会落在 μ±2σ 区间,99.7%的数据会落在 μ±3σ 区间.

基本概念
- 中值
- 均值
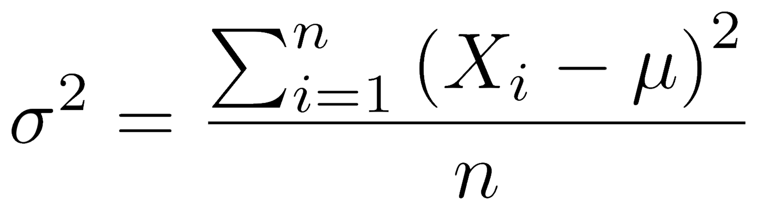
- 方差 (Variance)
Population Variance:

Sample Variance:

- 标准偏差(Standard Deviation)
- 变异系数 (Coefficient of Variation)

Reference
- https://youtu.be/pSaE2d7YuyI
- https://www.youtube.com/watch?v=wDAd_QHKoOg
- http://strata.uga.edu/8370/lecturenotes/variance.html
Comments